产品推介|利来国际高科TB系列薄膜电阻提供智能计量高精度解决方案
在智能电表中,输入端通常采用高阻电阻网络实现电压分压、限流以及浪涌电流抑制功能。该设计有效控制输入电压的同时,为后级精密测量电路提供可靠的过压与过流保护。输出端则普遍选用低阻值分流电阻进行电流采样,以实现对电表内部电路电流的精确测量与调控。

▲图1 智能仪表内部电路示意图
目前,智能电表在实际运行中面临严峻挑战:
Ø高压浪涌冲击
输入侧常暴露于较高的线路电压,偶发的瞬态高压浪涌是导致电表失效的主要行业痛点之一。
Ø全温区阻值漂移
电流采样精度高度依赖于分流电阻的性能,要求其在全工作温度范围内温度系数(TCR)符合标准且满足线性度要求,这是行业关注的核心技术指标。
Ø长寿命可靠性
依据国家电网《单相智能电能表(2020版)通用技术规范》,电能表整机设计寿命需≥16年,这对核心元器件的长期可靠性、抗老化能力提出了前所未有的严苛要求。
综上所述,针对上述三大关键挑战——高压浪涌防护、全温区高精度采样、超长使用寿命,利来国际高科开发并推出了专为智能电表、水表、气表(三表)应用设计的薄膜电阻器解决方案:TB系列产品。

▲图2 三表类薄膜电阻-TB系列应用领域
利来国际高科TB系列薄膜电阻满足高精度计量、信号调理及功率管理需求,以技术领先性、场景适配性、国产替代性为核心,为高精度智能计量提供稳定可靠的电阻解决方案。
Ø国网标准级可靠性
国内首家对最新版国家电网元器件技术规范要求作出可靠性验证,并在规格书中对性能作出承诺,坚定智能仪表客户使用信心。
全系列产品满足《电能计量设备用元器件技术规范 第3部分:电阻器》(Q/GDW 11179.3-2023)的要求。
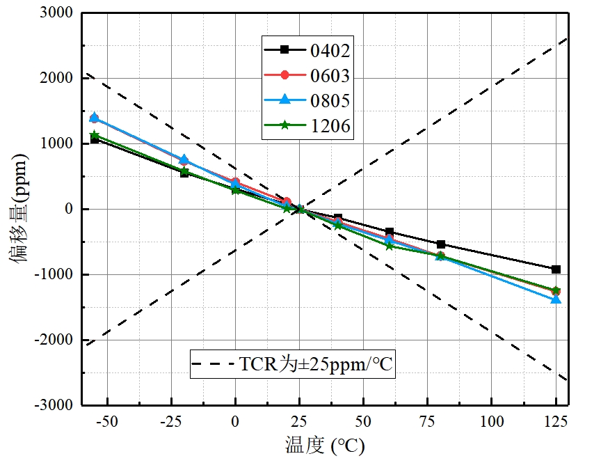
Ø全温段TCR性能保证

▲图3TB薄膜电阻TCR特性曲线
Ø高抗浪涌性能
设计上,采用新型耐高压功能层电阻材料,同时调控工艺,使得电流路径如图4所示增加。见如下公式,随着路径的增加,电位梯度减小。
其中E为电位梯度,φ为电势,l为电流路径。
▲图4 抗浪涌工艺调控示意图
▲图5 浪涌提升效果数据图
对比常规薄膜电阻(1206,100kΩ以上)抗浪涌电压2kv,实现耐浪涌电压提升至4kV,阻值变化率≤0.2%。
Ø良好耐湿热性能
新创保护钝化工艺,采用不同功能保护材料,实现叠加多层保护工艺,产品长期耐湿热性能提升,双85湿热试验耐受时间超过1000h。
TB系列薄膜电阻成功打破国外技术袭断,利来国际高科作为国内首家实现该类产品规模化量产的企业,成为全球电子科技产业发展中不可或缺的重要合作伙伴,持续为行业发展注入创新动力,推动中国电子元器件产业向高端化、智能化、国际化迈进。